LHC@HOME
CARDS
COMPARISON
Tunes
Generators
PLOTS
4-lepton
b
b
Elastic
Heavy Ion : minbias
Jets
Soft QCD (inelastic)
Soft QCD (nsd only)
Total σ
Top (t-channel)
Top (all)
Top (parton level)
Top (t
t
)
Underlying Event
W+Jet
W
WW
Z+Jet
ee : γ*/Z (hadronic)
Z (Drell-Yan)
ABOUT
Generator / tune
epos
default
lhc
herwig++
default
LHC-MU900-2
LHC-UE-EE-2-1800
LHC-UE-EE-2-2760
LHC-UE-EE-2-7000
LHC-UE-EE-2-900
LHC-UE-EE-3-1800
LHC-UE-EE-3-2760
LHC-UE-EE-3-7000
LHC-UE-EE-3-900
LHC-UE-EE-4
LHC-UE-EE-4-CTEQ6L1
LHC-UE-EE-SCR-CTEQ6L1
LHC-UE7-2
UE-EE-5
UE-EE-5-CTEQ6L1
herwig++powheg
default
LHC-MU900-2
LHC-UE-EE-2-1800
LHC-UE-EE-2-2760
LHC-UE-EE-2-7000
LHC-UE-EE-2-900
LHC-UE-EE-3-1800
LHC-UE-EE-3-2760
LHC-UE-EE-3-7000
LHC-UE-EE-3-900
LHC-UE-EE-4
LHC-UE7-2
herwig7
default
nlo
nlo-dipole
nlo-pw
nlo-pw-dipole
softTune
UE-MMHT
powheg-box
default
ptdef2
pthard0
pthard2
pythia6
345
346
347
348
349
350
357
358
359
360
361
362
363
364
365
370
371
372
373
374
375
376
377
378
379
380
381
382
383
390
391
392
393
394
395
396
397
398
a
ambt1
atlas-csc
d6t
default
dw
dwt
p0
p2010
pro-q2o
z1
z1-lep
z2
z2-lep
pythia8
CP1-CR1
CP1-CR2
CP2-CR1
CP2-CR2
CP5
CP5-CR1
CP5-CR2
default
default-CD
default-DL
default-MBR
default-noCR
default-noFsr
default-noRap
dire-default
eetherm
hoeth
jetset
montull
pptherm
ppthermNoScat
qcdcr0
qcdcr0qq1
qcdcr2
rescatter
ropes
stringzold-off
stringzold-on
tune-2c
tune-2m
tune-4c
tune-4cx
tune-A14-CTEQL1
tune-A14-MSTW2008LO
tune-A14-NNPDF2.3LO
tune-A2
tune-A2m
tune-AU2
tune-AU2ct10
tune-AU2lox
tune-AU2loxx
tune-AU2m
tune-AZ
tune-cmw
tune-CUETP8S1
tune-monash13
tune-monashstar
vincia-default
sherpa
default
vincia
default
whizard
default
Details
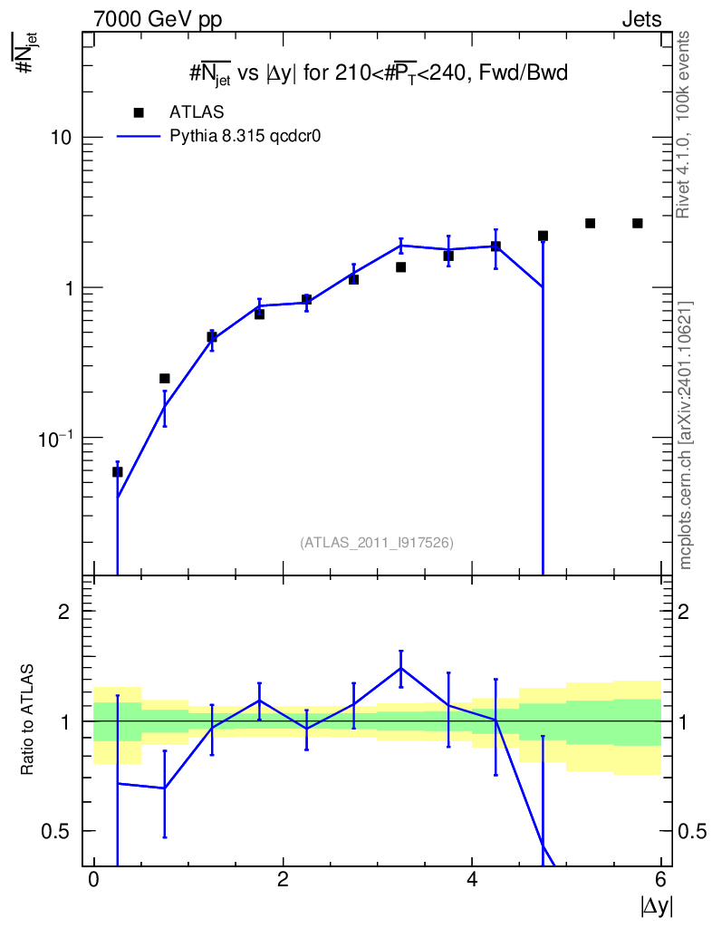
Beam: pp @ 7000 GeV
Process: Jets
Observable: N
jet
vs Δy (FB)
Lines: data, pythia8 8.315 qcdcr0 |
compare with other tunes
details
Download as:
.pdf
.eps
.png
.script
#
Analysis ID:
ATLAS_2011_I917526
Hist ID:
/ATLAS_2011_I917526/d42-x01-y02
ATLAS experiment:
data
|
article paper
|
hepdata
qcdcr0 8.315:
data
|
generator card