Soft QCD (inelastic)

Multiplicity Distributions

Soft QCD (inelastic) : Multiplicity Distributions

ℹ️Choose generators/versions/tunes to plot : either from a pre-defined preset (left button) or from all available MCs (right button)
There are no mc histograms for the selected preset. Please choose another one

pp @ 2360 GeV

Plot of nch in 2360 GeV pp collisions
Plot of nch in 2360 GeV pp collisions
Plot of nch in 2360 GeV pp collisions

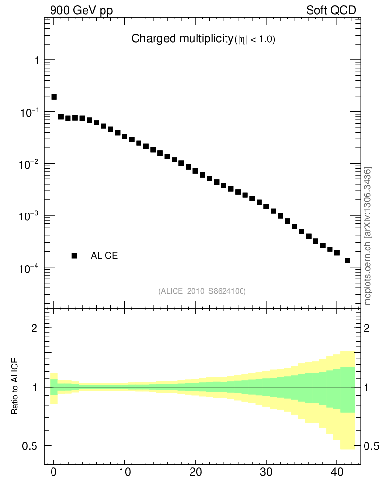
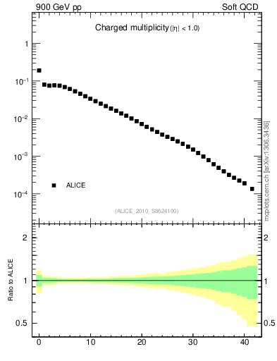
pp @ 900 GeV

Plot of nch in 900 GeV pp collisions
Plot of nch in 900 GeV pp collisions
Plot of nch in 900 GeV pp collisions