Soft QCD (inelastic)

Multiplicity Distributions

Soft QCD (inelastic) : Multiplicity Distributions

ℹ️Choose generators/versions/tunes to plot : either from a pre-defined preset (left button) or from all available MCs (right button)
There are no mc histograms for the selected preset. Please choose another one

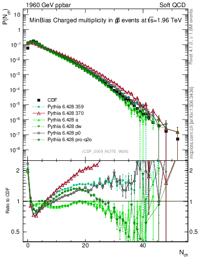
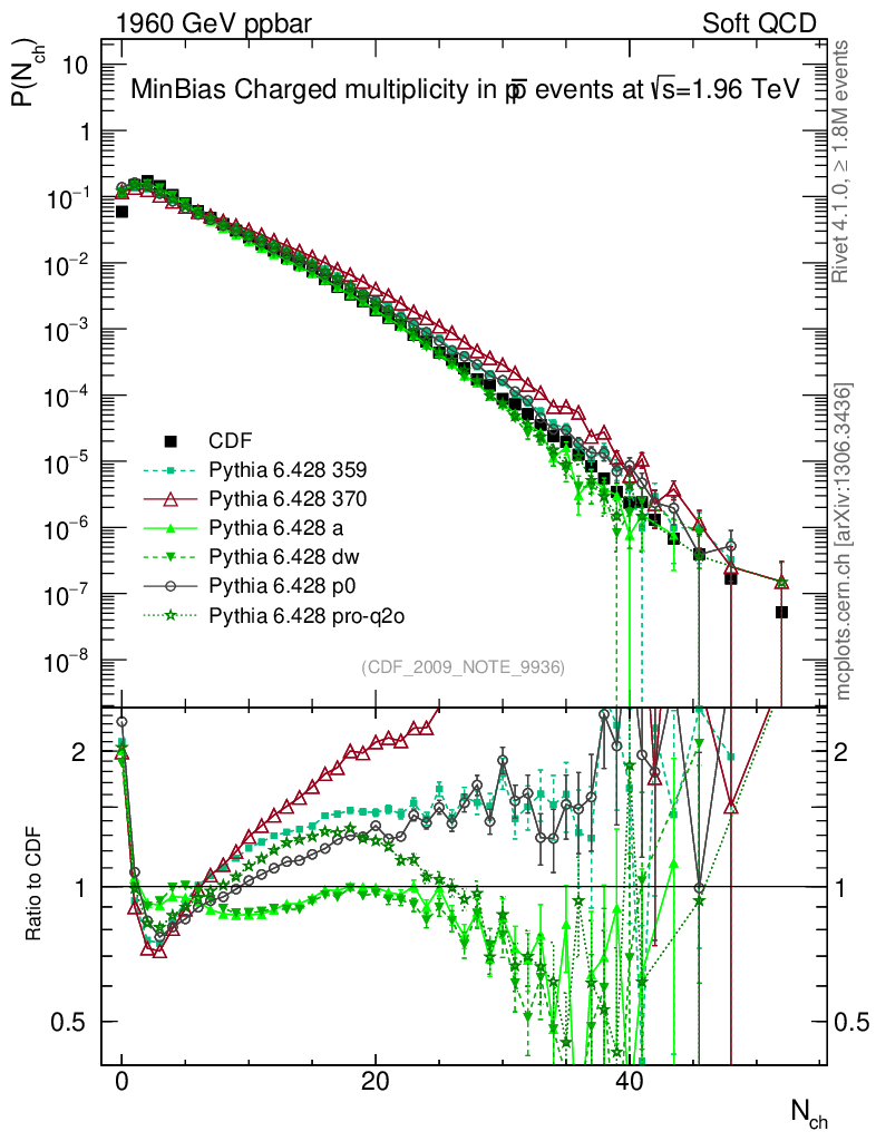
ppbar @ 1960 GeV

Plot of nch in 1960 GeV ppbar collisions