Soft QCD (inelastic)

Multiplicity Distributions

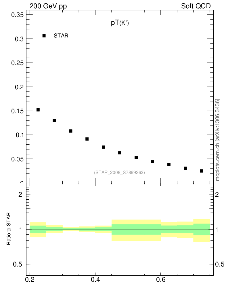
Soft QCD (inelastic) : Identified Particles : pT : K+

ℹ️Choose generators/versions/tunes to plot : either from a pre-defined preset (left button) or from all available MCs (right button)
There are no mc histograms for the selected preset. Please choose another one

pp @ 200 GeV

Plot of Kp_pt in 200 GeV pp collisions