LHC@HOME
CARDS
COMPARISON
Tunes
Generators
PLOTS
Elastic
Heavy Ion : minbias
Soft QCD (inelastic)
Soft QCD (nsd only)
Total σ
Underlying Event
ee : γ*/Z (hadronic)
ABOUT
Soft QCD (inelastic)
<pT>
j
vs Nch
<pT> vs Nch
Energy flow
Forward energy flow ratio
EM energy spectrum
Hadronic energy spectrum
Total energy spectrum
η Distributions
Rapidity gap size
Rapidity Gaps (MC only)
Jet p
T
K0S2pippim_pt
Kst0Kst0b2pippim_pt
Kst0Kst0b_pt
LLbar_pt
n.avgk
n.E
n.eflow
n.k
Multiplicity Distributions
Omega2phi_pt
Omegapm_pt
phi2pippim_pt
pT Distributions
<pT> vs mass
Σ(ET)
Σ(ET) vs Nch
Diffractive ξ
Xi2phi_pt
Cross sections
Identified Particles : σ
ccbar
D0
D+
Ds+
D*+
Identified Particles : pT
D0
D0
D+
Ds+
D*+
η
K0S
K-
K+ + K-
K+
Λc+
Λbar
Λ
pbar
φ
π
0
π-
π+ + π-
π+
pbar
p + pbar
p
p
Σbar(1385)-
Σbar(1385)+
Σ(1385)-
Σ(1385)+
Σc0,+,++
Ξ(1530)
Ξ-
Ξ+
Ξ
Identified Particles : Ratios
D+/D0 vs pT
D*+/D0 vs pT
Ds+/D0 vs pT
Ds+/D+ vs pT
η/π0 vs pT
K-/K+ vs |y|
(K-+K+)/(π-+π+) vs pT
(K-+K+)/(π-+π+) vs |y|
Λ/K0S vs pT
Λc+/D0 vs pT
Λc+ from Σc0,+,++/Λc+ vs pT
Λbar/K0S vs pT
Λbar/K0S vs |y|
Λbar/K0S vs |Δy|
Λbar/Λ vs pT
Λbar/Λ vs |y|
Λbar/Λ vs |Δy|
p/π+ vs pT
pbar/π vs pT
pbar/p vs pT
pbar/p vs |y|
(pbar+p)/(K-+K+) vs |y|
(pbar+p)/(π-+π+) vs pT
(pbar+p)/(π-+π+) vs |y|
π-/π+ vs pT
π-/π+ vs |y|
Σc0,+,++/D0 vs pT
Ξ+/Ξ- vs pT
FB Correlations
b(Nch) vs Δη
b(Nch) vs ηC
Generalized angularities
Multiplicity λ
0
0
(charged only)
Jet Substructure
Momentum fraction z
Relative p
T
Radial profile ρ
Jet Shapes
Differential Jet Shape
Diffraction
ξ
Δη
|t|
Jet Multiplicities
Nj vs Nch
Identified Particles : Y
φ
Soft QCD (inelastic) : Multiplicity Distributions
Pythia 8 : Rad Variations
General-Purpose MCs
Main
Herwig vs Pythia
Pythia 6 vs 8
All C++ Generators
Soft-Inclusive MCs
Min-Bias Tunes
UE Tunes
EPOS vs Pythia
Pythia 8
Matched/Merged MCs
vs GPMCs
Powheg-Box
Herwig
Herwig7 vs Pythia
Pythia 8
Main
A14
AU2-PDFs
Diffraction
LEP
Rad Variations
No CR
4Cx
Tevatron
Py8 vs Py6
Py8 vs Herwig
Py8 vs Sherpa
Pythia 6
Py6 vs Py8
Sherpa
Main
Customize
ℹ️
Choose generators/versions/tunes to plot : either from a pre-defined preset (left button) or from all available MCs (right button)
pp @ 7000 GeV
details
Download as:
.pdf
.eps
.png
.script
.script.tgz
#
Analysis ID:
ALICE_2010_S8625980
Hist ID:
/ALICE_2010_S8625980/d03-x01-y01
ALICE experiment:
data
|
article paper
Pythia 8 (Def):
data
|
generator card
details
Download as:
.pdf
.eps
.png
.script
.script.tgz
#
Analysis ID:
ATLAS_2010_S8918562
Hist ID:
/ATLAS_2010_S8918562/d37-x01-y01
ATLAS experiment:
data
|
article paper
|
hepdata
Pythia 8 (Def):
data
|
generator card
details
Download as:
.pdf
.eps
.png
.script
.script.tgz
#
Analysis ID:
ATLAS_2010_S8918562
Hist ID:
/ATLAS_2010_S8918562/d17-x01-y01
ATLAS experiment:
data
|
article paper
|
hepdata
Pythia 8 (Def):
data
|
generator card
details
Download as:
.pdf
.eps
.png
.script
.script.tgz
#
Analysis ID:
ATLAS_2010_S8918562
Hist ID:
/ATLAS_2010_S8918562/d19-x01-y01
ATLAS experiment:
data
|
article paper
|
hepdata
Pythia 8 (Def):
data
|
generator card
details
Download as:
.pdf
.eps
.png
.script
.script.tgz
#
Analysis ID:
ATLAS_2010_S8918562
Hist ID:
/ATLAS_2010_S8918562/d35-x01-y01
ATLAS experiment:
data
|
article paper
|
hepdata
Pythia 8 (Def):
data
|
generator card
details
Download as:
.pdf
.eps
.png
.script
.script.tgz
#
Analysis ID:
ATLAS_2010_S8918562
Hist ID:
/ATLAS_2010_S8918562/d21-x01-y01
ATLAS experiment:
data
|
article paper
|
hepdata
Pythia 8 (Def):
data
|
generator card
pp @ 2360 GeV
details
Download as:
.pdf
.eps
.png
.script
.script.tgz
#
Analysis ID:
ALICE_2010_S8624100
Hist ID:
/ALICE_2010_S8624100/d17-x01-y01
ALICE experiment:
data
|
article paper
Pythia 8 (Def):
data
|
generator card
details
Download as:
.pdf
.eps
.png
.script
.script.tgz
#
Analysis ID:
ALICE_2010_S8624100
Hist ID:
/ALICE_2010_S8624100/d18-x01-y01
ALICE experiment:
data
|
article paper
Pythia 8 (Def):
data
|
generator card
details
Download as:
.pdf
.eps
.png
.script
.script.tgz
#
Analysis ID:
ALICE_2010_S8624100
Hist ID:
/ALICE_2010_S8624100/d19-x01-y01
ALICE experiment:
data
|
article paper
Pythia 8 (Def):
data
|
generator card
details
Download as:
.pdf
.eps
.png
.script
.script.tgz
#
Analysis ID:
ATLAS_2010_S8918562
Hist ID:
/ATLAS_2010_S8918562/d16-x01-y01
ATLAS experiment:
data
|
article paper
|
hepdata
Pythia 8 (Def):
data
|
generator card
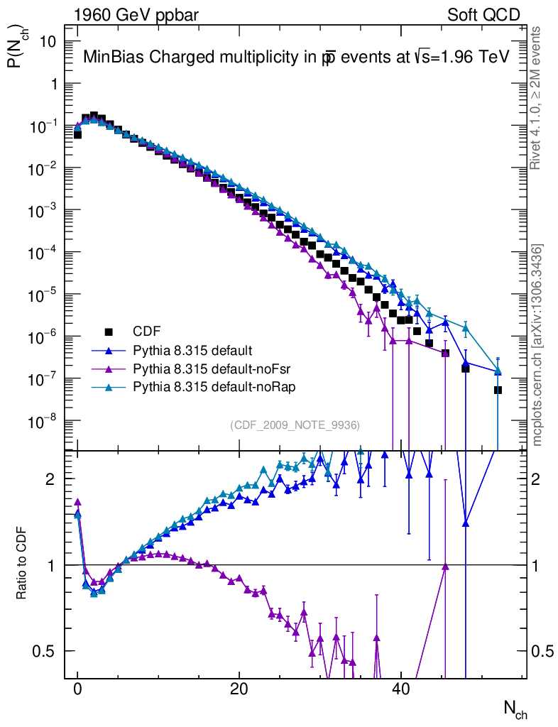
ppbar @ 1960 GeV
details
Download as:
.pdf
.eps
.png
.script
.script.tgz
#
Analysis ID:
CDF_2009_NOTE_9936
Hist ID:
/CDF_2009_NOTE_9936/d01-x01-y01
CDF experiment:
data
|
article paper
Pythia 8 (Def):
data
|
generator card
ppbar @ 1800 GeV
details
Download as:
.pdf
.eps
.png
.script
.script.tgz
#
Analysis ID:
CDF_2002_S4796047
Hist ID:
/CDF_2002_S4796047/d02-x01-y01
CDF experiment:
data
|
article paper
|
hepdata
Pythia 8 (Def):
data
|
generator card
pp @ 900 GeV
details
Download as:
.pdf
.eps
.png
.script
.script.tgz
#
Analysis ID:
ALICE_2010_S8624100
Hist ID:
/ALICE_2010_S8624100/d11-x01-y01
ALICE experiment:
data
|
article paper
Pythia 8 (Def):
data
|
generator card
details
Download as:
.pdf
.eps
.png
.script
.script.tgz
#
Analysis ID:
ALICE_2010_S8624100
Hist ID:
/ALICE_2010_S8624100/d12-x01-y01
ALICE experiment:
data
|
article paper
Pythia 8 (Def):
data
|
generator card
details
Download as:
.pdf
.eps
.png
.script
.script.tgz
#
Analysis ID:
ALICE_2010_S8624100
Hist ID:
/ALICE_2010_S8624100/d13-x01-y01
ALICE experiment:
data
|
article paper
Pythia 8 (Def):
data
|
generator card
details
Download as:
.pdf
.eps
.png
.script
.script.tgz
#
Analysis ID:
ATLAS_2010_S8591806
Hist ID:
/ATLAS_2010_S8591806/d04-x01-y01
ATLAS experiment:
data
|
article paper
Pythia 8 (Def):
data
|
generator card
details
Download as:
.pdf
.eps
.png
.script
.script.tgz
#
Analysis ID:
ATLAS_2010_S8918562
Hist ID:
/ATLAS_2010_S8918562/d36-x01-y01
ATLAS experiment:
data
|
article paper
|
hepdata
Pythia 8 (Def):
data
|
generator card
details
Download as:
.pdf
.eps
.png
.script
.script.tgz
#
Analysis ID:
ATLAS_2010_S8918562
Hist ID:
/ATLAS_2010_S8918562/d15-x01-y01
ATLAS experiment:
data
|
article paper
|
hepdata
Pythia 8 (Def):
data
|
generator card
details
Download as:
.pdf
.eps
.png
.script
.script.tgz
#
Analysis ID:
ATLAS_2010_S8918562
Hist ID:
/ATLAS_2010_S8918562/d18-x01-y01
ATLAS experiment:
data
|
article paper
|
hepdata
Pythia 8 (Def):
data
|
generator card
details
Download as:
.pdf
.eps
.png
.script
.script.tgz
#
Analysis ID:
ATLAS_2010_S8918562
Hist ID:
/ATLAS_2010_S8918562/d34-x01-y01
ATLAS experiment:
data
|
article paper
|
hepdata
Pythia 8 (Def):
data
|
generator card
details
Download as:
.pdf
.eps
.png
.script
.script.tgz
#
Analysis ID:
ATLAS_2010_S8918562
Hist ID:
/ATLAS_2010_S8918562/d20-x01-y01
ATLAS experiment:
data
|
article paper
|
hepdata
Pythia 8 (Def):
data
|
generator card
ppbar @ 900 GeV
details
Download as:
.pdf
.eps
.png
.script
.script.tgz
#
Analysis ID:
UA1_1990_S2044935
Hist ID:
/UA1_1990_S2044935/d01-x01-y03
UA1 experiment:
data
|
article paper
Pythia 8 (Def):
data
|
generator card
details
Download as:
.pdf
.eps
.png
.script
.script.tgz
#
Analysis ID:
UA5_1989_S1926373
Hist ID:
/UA5_1989_S1926373/d02-x01-y01
UA5 experiment:
data
|
article paper
|
hepdata
Pythia 8 (Def):
data
|
generator card
details
Download as:
.pdf
.eps
.png
.script
.script.tgz
#
Analysis ID:
UA5_1989_S1926373
Hist ID:
/UA5_1989_S1926373/d07-x01-y01
UA5 experiment:
data
|
article paper
|
hepdata
Pythia 8 (Def):
data
|
generator card
details
Download as:
.pdf
.eps
.png
.script
.script.tgz
#
Analysis ID:
UA5_1989_S1926373
Hist ID:
/UA5_1989_S1926373/d08-x01-y01
UA5 experiment:
data
|
article paper
|
hepdata
Pythia 8 (Def):
data
|
generator card
details
Download as:
.pdf
.eps
.png
.script
.script.tgz
#
Analysis ID:
UA5_1989_S1926373
Hist ID:
/UA5_1989_S1926373/d09-x01-y01
UA5 experiment:
data
|
article paper
|
hepdata
Pythia 8 (Def):
data
|
generator card
details
Download as:
.pdf
.eps
.png
.script
.script.tgz
#
Analysis ID:
UA5_1989_S1926373
Hist ID:
/UA5_1989_S1926373/d10-x01-y01
UA5 experiment:
data
|
article paper
|
hepdata
Pythia 8 (Def):
data
|
generator card
ppbar @ 630 GeV
details
Download as:
.pdf
.eps
.png
.script
.script.tgz
#
Analysis ID:
CDF_2002_S4796047
Hist ID:
/CDF_2002_S4796047/d01-x01-y01
CDF experiment:
data
|
article paper
|
hepdata
Pythia 8 (Def):
data
|
generator card
ppbar @ 546 GeV
details
Download as:
.pdf
.eps
.png
.script
.script.tgz
#
Analysis ID:
UA5_1987_S1640666
Hist ID:
/UA5_1987_S1640666/d03-x01-y01
UA5 experiment:
data
|
article paper
Pythia 8 (Def):
data
|
generator card
ppbar @ 500 GeV
details
Download as:
.pdf
.eps
.png
.script
.script.tgz
#
Analysis ID:
UA1_1990_S2044935
Hist ID:
/UA1_1990_S2044935/d01-x01-y02
UA1 experiment:
data
|
article paper
Pythia 8 (Def):
data
|
generator card
pp @ 200 GeV
details
Download as:
.pdf
.eps
.png
.script
.script.tgz
#
Analysis ID:
STAR_2008_S7869363
Hist ID:
/STAR_2008_S7869363/d01-x01-y01
STAR experiment:
data
|
article paper
Pythia 8 (Def):
data
|
generator card
ppbar @ 200 GeV
details
Download as:
.pdf
.eps
.png
.script
.script.tgz
#
Analysis ID:
UA1_1990_S2044935
Hist ID:
/UA1_1990_S2044935/d01-x01-y01
UA1 experiment:
data
|
article paper
Pythia 8 (Def):
data
|
generator card
details
Download as:
.pdf
.eps
.png
.script
.script.tgz
#
Analysis ID:
UA5_1989_S1926373
Hist ID:
/UA5_1989_S1926373/d01-x01-y01
UA5 experiment:
data
|
article paper
|
hepdata
Pythia 8 (Def):
data
|
generator card
details
Download as:
.pdf
.eps
.png
.script
.script.tgz
#
Analysis ID:
UA5_1989_S1926373
Hist ID:
/UA5_1989_S1926373/d03-x01-y01
UA5 experiment:
data
|
article paper
|
hepdata
Pythia 8 (Def):
data
|
generator card
details
Download as:
.pdf
.eps
.png
.script
.script.tgz
#
Analysis ID:
UA5_1989_S1926373
Hist ID:
/UA5_1989_S1926373/d04-x01-y01
UA5 experiment:
data
|
article paper
|
hepdata
Pythia 8 (Def):
data
|
generator card
details
Download as:
.pdf
.eps
.png
.script
.script.tgz
#
Analysis ID:
UA5_1989_S1926373
Hist ID:
/UA5_1989_S1926373/d05-x01-y01
UA5 experiment:
data
|
article paper
|
hepdata
Pythia 8 (Def):
data
|
generator card
details
Download as:
.pdf
.eps
.png
.script
.script.tgz
#
Analysis ID:
UA5_1989_S1926373
Hist ID:
/UA5_1989_S1926373/d06-x01-y01
UA5 experiment:
data
|
article paper
|
hepdata
Pythia 8 (Def):
data
|
generator card