LHC@HOME
CARDS
COMPARISON
Tunes
Generators
PLOTS
4-lepton
b
b
Elastic
Heavy Ion : minbias
Jets
Soft QCD (inelastic)
Soft QCD (nsd only)
Total σ
Top (t-channel)
Top (all)
Top (parton level)
Top (t
t
)
Underlying Event
W+Jet
W
WW
Z+Jet
ee : γ*/Z (hadronic)
Z (Drell-Yan)
ABOUT
Underlying Event
Away
<pT> vs Nch
<pT> vs p
T
lead
<Nch> vs p
T
lead
Σ(pT) vs p
T
lead
Transverse
<pT> vs Nch
<pT> vs p
T
lead
Strange <N> vs p
T
lead
Max(pT) vs p
T
lead
Nch
<Nch> vs η
lead
<Nch> vs p
T
lead
p
T
spectrum
σ(Nch) vs p
T
lead
σ(Σ(pT)) vs p
T
lead
Σ(ET)
Σ(ET) vs η
Scalar Σ(p
T
)
Σ(pT) vs η
lead
Σ(pT) vs p
T
lead
Strange Σ(pT) vs p
T
lead
TransMAX
<pT> vs Nch
<pT> vs p
T
lead
<Nch> vs p
T
lead
Σ(pT) vs p
T
lead
TransMIN
<pT> vs Nch
<pT> vs p
T
lead
<Nch> vs p
T
lead
Σ(pT) vs p
T
lead
Toward
<pT> vs Nch
<pT> vs p
T
lead
<Nch> vs p
T
lead
Σ(pT) vs p
T
lead
Δφ distributions
<Nch> vs Δφ
<pT> vs Δφ
Σ(pT) vs Δφ
TransAVE
<Nch> vs p
T
lead
Σ(pT) vs p
T
lead
nch-vs-pt-trnsDif
p
T
lead
sumpt-vs-pt-trnsDif
TransDIF
<Nch> vs p
T
lead
Σ(pT) vs p
T
lead
Underlying Event : Away : Σ(pT) vs p
T
lead
Pythia 6 : P12-PDFs
General-Purpose MCs
Main
Herwig vs Pythia
Pythia 6 vs 8
All C++ Generators
Soft-Inclusive MCs
Min-Bias Tunes
UE Tunes
EPOS vs Pythia
Pythia 8
Matched/Merged MCs
Main
vs GPMCs
Powheg-Box
Herwig
Main
Herwig++
Powheg
Herwig7 vs Pythia
Herwig7 vs Sherpa
Pythia 8
Main
A14
AU2-PDFs
Diffraction
LEP
Rad Variations
No CR
4Cx
Tevatron
Py8 vs Py6
Py8 vs Herwig
Py8 vs Sherpa
Pythia 6
Main
Py6 vs Py8
P12-RadFrag
P12-MpiCR
AMBT2 vs Z2
AUET2B-PDFs
P12-PDFs
CTEQ6 vs LO*
IBK LOPDFs
IBK NLOPDFs
Perugia History
P11-All
LHC tunes
Tevatron
Old vs P12
Sherpa
Main
Matching/Merging
Customize
ℹ️
Choose generators/versions/tunes to plot : either from a pre-defined preset (left button) or from all available MCs (right button)
pp @ 900 GeV
details
Download as:
.pdf
.eps
.png
.script
#
Analysis ID:
ATLAS_2010_I879407
Hist ID:
/ATLAS_2010_I879407/d03-x01-y03
ATLAS experiment:
data
|
article paper
|
hepdata
Pythia 6 (370:P2012):
data
|
generator card
Pythia 6 (378:M8LO):
data
|
generator card
Pythia 6 (379:LOXX):
data
|
generator card
details
Download as:
.pdf
.eps
.png
.script
#
Analysis ID:
ATLAS_2010_I879407
Hist ID:
/ATLAS_2010_I879407/d19-x01-y03
ATLAS experiment:
data
|
article paper
|
hepdata
Pythia 6 (370:P2012):
data
|
generator card
Pythia 6 (378:M8LO):
data
|
generator card
Pythia 6 (379:LOXX):
data
|
generator card
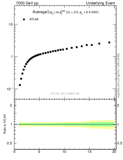
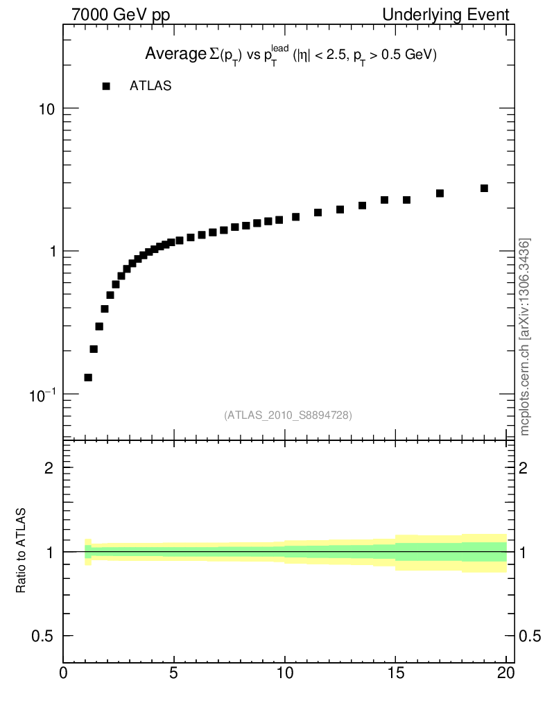
pp @ 7000 GeV
details
Download as:
.pdf
.eps
.png
.script
#
Analysis ID:
ATLAS_2010_I879407
Hist ID:
/ATLAS_2010_I879407/d04-x01-y03
ATLAS experiment:
data
|
article paper
|
hepdata
Pythia 6 (370:P2012):
data
|
generator card
Pythia 6 (378:M8LO):
data
|
generator card
Pythia 6 (379:LOXX):
data
|
generator card
details
Download as:
.pdf
.eps
.png
.script
#
Analysis ID:
ATLAS_2010_I879407
Hist ID:
/ATLAS_2010_I879407/d20-x01-y03
ATLAS experiment:
data
|
article paper
|
hepdata
Pythia 6 (370:P2012):
data
|
generator card
Pythia 6 (378:M8LO):
data
|
generator card
Pythia 6 (379:LOXX):
data
|
generator card
ppbar @ 1960 GeV
details
Download as:
.pdf
.eps
.png
.script
#
Analysis ID:
CDF_2010_I849042
Hist ID:
/CDF_2010_I849042/d12-x01-y03
CDF experiment:
data
|
article paper
|
hepdata
Pythia 6 (370:P2012):
data
|
generator card
Pythia 6 (378:M8LO):
data
|
generator card
Pythia 6 (379:LOXX):
data
|
generator card
ppbar @ 1800 GeV
details
Download as:
.pdf
.eps
.png
.script
#
Analysis ID:
CDF_2001_I564673
Hist ID:
/CDF_2001_I564673/d06-x01-y03
CDF experiment:
data
|
article paper
|
hepdata
Pythia 6 (370:P2012):
data
|
generator card
Pythia 6 (378:M8LO):
data
|
generator card
Pythia 6 (379:LOXX):
data
|
generator card
details
Download as:
.pdf
.eps
.png
.script
#
Analysis ID:
CDF_2001_I564673
Hist ID:
/CDF_2001_I564673/d05-x01-y03
CDF experiment:
data
|
article paper
|
hepdata
Pythia 6 (370:P2012):
data
|
generator card
Pythia 6 (378:M8LO):
data
|
generator card
Pythia 6 (379:LOXX):
data
|
generator card
pp @ 13000 GeV
details
Download as:
.pdf
.eps
.png
.script
#
Analysis ID:
ATLAS_2017_I1509919
Hist ID:
/ATLAS_2017_I1509919/d26-x01-y01
ATLAS experiment:
data
|
article paper
|
hepdata
Pythia 6 (370:P2012):
data
|
generator card
Pythia 6 (378:M8LO):
data
|
generator card
Pythia 6 (379:LOXX):
data
|
generator card